Last Updated:
Written by:
Time to read:
NCERT Exemplar Class 11 Maths Chapter 2 Relations and Functions Exercise Solutions Long Answer Type
Table of Contents
Solved Long Answer Type Questions of NCERT Exemplar Chapter 2 Relations and Functions Exercise
Question 16 Is g = {(1, 1), (2, 3), (3, 5), (4, 7)}
a function? Justify your answer.
If this function is described by the relation g(x) = αx + β, find the values of α and β.
Answer 16 Given: g = {(1, 1), (2, 3), (3, 5), (4, 7)}
Each element of the domain has a unique image.
Therefore, g is a function.
Let
g(x) = αx + β
Using ordered pairs:
For (1, 1):
g(1) = α(1) + β = 1
⇒ α + β = 1 …(i)
For (2, 3):
g(2) = 2α + β = 3
⇒ 2α + β = 3 …(ii)
Subtract (i) from (ii):
α = 2
Substitute α = 2 in (i):
2 + β = 1
⇒ β = −1
Final Answer
- α = 2
- β = −1
Note: Any other two ordered pairs from the given relation can also be used to find α and β.
Question 17
Find the domain of each of the following functions given by:
(i) f(x) = 1 / √(1 − cos x)
(ii) f(x) = 1 / √(x + |x|)
(iii) f(x) = x|x|
(iv) f(x) = (x³ − x + 3) / (x² − 1)
(v) f(x) = 3x / (28 − x)
Answer 17
(i)
Given that:
f(x) = 1 / √(1 − cos x)
We know that:
−1 ≤ cos x ≤ 1
⇒ 1 ≥ −cos x ≥ −1
⇒ 1 + 1 ≥ 1 − cos x ≥ −1 + 1
⇒ 2 ≥ 1 − cos x ≥ 0
⇒ 0 ≤ 1 − cos x ≤ 2
For real value of domain:
1 − cos x ≠ 0 ⇒ cos x ≠ 1
⇒ x ≠ 2nπ, ∀ n ∈ Z
Hence, the domain of f = R − {2nπ, n ∈ Z}
(ii)
Given that:
f(x) = 1 / √(x + |x|)
x + |x| = x + x = 2x, if x ≥ 0
and
x + |x| = x − x = 0, if x < 0
So for x < 0, f is not defined.
Hence, the domain f = R⁺
(iii)
Given that:
f(x) = x|x|
It is clear that f(x) is defined for all x ∈ R.
Hence, the domain of f = R
(iv)
Given that:
f(x) = (x³ − x + 3) / (x² − 1)
Here, f(x) is only defined if:
x² − 1 ≠ 0
(x − 1)(x + 1) ≠ 0
⇒ x ≠ 1, x ≠ −1
Hence, the domain of f = R − {−1, 1}
(v)
Given that:
f(x) = 3x / (28 − x)
Here, f(x) is only defined if:
28 − x ≠ 0 ⇒ x ≠ 28
Hence, the domain = R − {28}
Question 18. Find the range of the following functions given by:
(i) f(x) = 3 / (2 − x²)
(ii) f(x) = 1 − |x − 2|
(iii) f(x) = |x − 3|
(iv) f(x) = 1 + 3 cos 2x
Answer 18.
(i)
Given that:
f(x) = 3 / (2 − x²)
Let y = f(x)
∴ y = 3 / (2 − x²)
⇒ y(2 − x²) = 3
⇒ 2y − yx² = 3
⇒ yx² = 2y − 3
⇒ x² = (2y − 3) / y
Here, x is real if:
2y − 3 ≥ 0 and y ≥ 0
⇒ y ≥ 3/2
Hence, the range of f = [3/2, ∞)
(ii)
Given that:
f(x) = 1 − |x − 2|
We know that:
|x − 2| = −(x − 2), if x < 2
and
|x − 2| = (x − 2), if x ≥ 2
∴ −|x − 2| ≤ 0
⇒ 1 − |x − 2| ≤ 1
Hence, the range of f = (−∞, 1]
(iii)
Given that:
f(x) = |x − 3|
We know that:
|x − 3| ≥ 0 ⇒ f(x) ≥ 0
Hence, the range of f = [0, ∞)
(iv)
Given that:
f(x) = 1 + 3 cos 2x
We know that:
−1 ≤ cos 2x ≤ 1
⇒ −3 ≤ 3 cos 2x ≤ 3
⇒ −3 + 1 ≤ 1 + 3 cos 2x ≤ 3 + 1
⇒ −2 ≤ f(x) ≤ 4
Hence, the range of f = [−2, 4]
Question 19. Redefine the function
f(x) = |x − 2| + |2 + x|, −3 ≤ x ≤ 3
Answer 19. Given that:
f(x) = |x − 2| + |2 + x|, −3 ≤ x ≤ 3
Since
|x − 2| = −(x − 2), x < 2
|x − 2| = (x − 2), x ≥ 2
and
|2 + x| = −(2 + x), x < −2
|2 + x| = (2 + x), x ≥ −2
Now,
f(x) = |x − 2| + |2 + x|, −3 ≤ x ≤ 3
=
⎧ −(x − 2) − (2 + x), −3 ≤ x < −2
⎨ −(x − 2) + (2 + x), −2 ≤ x < 2
⎩ (x − 2) + (2 + x), 2 ≤ x ≤ 3
∴
f(x) =
⎧ −2x, −3 ≤ x < −2
⎨ 4, −2 ≤ x < 2
⎩ 2x, 2 ≤ x ≤ 3
Question 20.
If f(x) = (x − 1) / (x + 1),
then show that:
(i)
f(1/x) = −f(x)
(ii)
f(−1/x) = −1 / f(x)
Answer 20.
Given that:
f(x) = (x − 1) / (x + 1)
(i)
f(1/x)
= (1/x − 1) / (1/x + 1)
= (1 − x) / (1 + x)
= −(x − 1) / (x + 1)
= −f(x)
Hence,
f(1/x) = −f(x)
(ii)
f(−1/x)
= (−1/x − 1) / (−1/x + 1)
= −(1/x + 1) / −(1/x − 1)
= (1 + x) / (1 − x)
= 1 / [(x − 1)/(x + 1)]
= −1 / f(x)
Hence,
f(−1/x) = −1 / f(x)
Question 21. Let
f(x) = √x
and
g(x) = x
be two functions defined in the domain
R⁺ ∪ {0}.
Find:
(i) (f + g)(x)
(ii) (f − g)(x)
(iii) (f · g)(x)
(iv) (f / g)(x)
Answer 21.
Given that:
f(x) = √x and g(x) = x
be two functions defined in the domain
R⁺ ∪ {0}
(i)
(f + g)(x) = f(x) + g(x)
= √x + x
(ii)
(f − g)(x) = f(x) − g(x)
= √x − x
(iii)
(fg)(x) = f(x) · g(x)
= √x · x
= x³ᐟ²
(iv)
(f / g)(x) = f(x) / g(x)
= √x / x
= 1 / √x
Question 22. Find the domain and range of the function f(x) = 1 / √(x − 5)
Answer 22.
Given:
f(x) = 1 / √(x − 5)
Domain
For the square root to be defined and denominator non-zero:
x − 5 > 0
⇒ x > 5
Domain:
(5, ∞)
Range
Let
y = 1 / √(x − 5)
Since x > 5 ⇒ √(x − 5) > 0
⇒ y > 0
As x → 5⁺, √(x − 5) → 0⁺ ⇒ y → ∞
As x → ∞, √(x − 5) → ∞ ⇒ y → 0⁺
Range:
(0, ∞)
- Domain: (5, ∞)
- Range: (0, ∞)
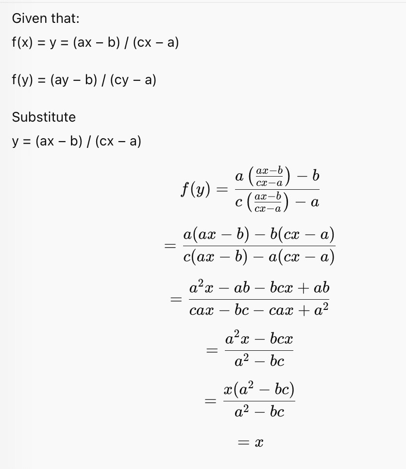
Question 23. If f(x) = y = (ax − b) / (cx − a), then prove that f(y) = x
Answer 23.

Question 9. If R₃ = { (x, |x|) | x is a real number } is a relation, then find the domain and range of R₃.
Answer 9. Given:
R₃ = { (x, |x|) | x is a real number }
Clearly,
Domain of R₃ = R
Range of R₃ = [0, ∞)
Question 10. Is the given relation a function? Give reason for your answer.
(i) h = { (4, 6), (3, 9), (−11, 6), (3, 11) }
(ii) f = { (x, x) | x is a real number }
(iii) g = { (n, 1/n) | n is a positive integer }
(iv) s = { (n, n²) | n is a positive integer }
(v) t = { (x, 3) | x is a real number }
Answer 10.
(i) h is not a function
Since 3 has two images, 9 and 11.
(ii) f is a function
Every element of the domain has a unique image.
(iii) g is a function
For every positive integer n, there is a unique image 1/n.
(iv) s is a function
Square of any integer is unique.
(v) t is a function
Every real number is mapped to the constant value 3.
Question 11. If f and g are real functions defined by
f(x) = x² + 7
g(x) = 3x + 5
find each of the following:
(i) f(3) + g(−5)
(ii) f(1/2) × g(14)
(iii) f(−2) + g(−1)
(iv) f(t) − f(t − 2)
(v) [ f(t) − f(5) ] / (t − 5), t ≠ 5
Answer 11.
Given:
f(x) = x² + 7
g(x) = 3x + 5
(i)
f(3) + g(−5)
= (3² + 7) + [3(−5) + 5]
= (9 + 7) + (−15 + 5)
= 16 − 10
= 6
(ii)
f(1/2) × g(14)
= [(1/2)² + 7] × [3(14) + 5]
= (1/4 + 7) × (42 + 5)
= (29/4) × 47
= 1363/4
(iii)
f(−2) + g(−1)
= [ (−2)² + 7 ] + [ 3(−1) + 5 ]
= (4 + 7) + (−3 + 5)
= 11 + 2
= 13
(iv)
f(t) − f(t − 2)
= (t² + 7) − [ (t − 2)² + 7 ]
= t² − (t² − 4t + 4)
= 4t − 4
(v)
[ f(t) − f(5) ] / (t − 5)
= [ (t² + 7) − (25 + 7) ] / (t − 5)
= (t² − 25) / (t − 5)
= t + 5, t ≠ 5
Question 12. Let f and g be real functions defined by
f(x) = 2x + 1
g(x) = 4x − 7
(i) For what real numbers, f(x) = g(x)?
(ii) For what real numbers, f(x) < g(x)?
Answer 12. (x) = 2x + 1
g(x) = 4x − 7
(i) f(x) = g(x)
2x + 1 = 4x − 7
⇒ −2x = −8
⇒ x = 4
Hence, the required real number is x = 4.
(ii) f(x) < g(x)
2x + 1 < 4x − 7
⇒ −2x < −8
⇒ x > 4
Hence, the required real numbers are x > 4.
Question 13. If f and g are two real valued functions defined as
f(x) = 2x + 1
g(x) = x² + 1
find:
(i) f + g
(ii) f − g
(iii) f·g
(iv) f / g
Answer 13. Given:
f(x) = 2x + 1
g(x) = x² + 1
(i) (f + g)(x)
= f(x) + g(x)
= (2x + 1) + (x² + 1)
= x² + 2x + 2
(ii) (f − g)(x)
= f(x) − g(x)
= (2x + 1) − (x² + 1)
= 2x − x²
(iii) (f·g)(x)
= f(x)g(x)
= (2x + 1)(x² + 1)
= 2x³ + x² + 2x + 1
(iv) (f / g)(x)
= f(x) / g(x)
= (2x + 1) / (x² + 1)
Question 14. Express the following function as a set of ordered pairs and determine their range:
f : X → R,
f(x) = x³ + 1, where
X = {−1, 0, 3, 9, 7}
Answer 14. Given:
f(x) = x³ + 1
X = {−1, 0, 3, 9, 7}
Evaluate f(x) for each x ∈ X:
For x = −1
f(−1) = (−1)³ + 1 = −1 + 1 = 0
For x = 0
f(0) = 0³ + 1 = 1
For x = 3
f(3) = 27 + 1 = 28
For x = 9
f(9) = 729 + 1 = 730
For x = 7
f(7) = 343 + 1 = 344
Set of ordered pairs:
{ (−1, 0), (0, 1), (3, 28), (7, 344), (9, 730) }
Range:
{ 0, 1, 28, 344, 730 }
Question 15. Find the values of x for which the functions
f(x) = 3x² − 1
and g(x) = 3 + x are equal.
Answer 15. Given:
f(x) = 3x² − 1
g(x) = 3 + x
Since f(x) = g(x),
3x² − 1 = 3 + x
⇒ 3x² − x − 4 = 0
Factorising:
(3x − 4)(x + 1) = 0
⇒ 3x − 4 = 0 or x + 1 = 0
⇒ x = 4/3 or x = −1
Hence, the required values of x are −1 and 4/3.
